Задание 2.277 - ГДЗ Математика 6 класс. Виленкин, Жохов. Учебник часть 1

Старая и новая редакции

Вернуться к содержанию учебника

2.274 2.275 2.276 2.277 2.278 2.279 2.280

Вопрос

Выберите год учебника

№2.277 учебника 2023-2024 (стр. 82):

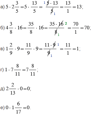
Найдите значение произведения:


№2.277 учебника 2021-2022 (стр. 77):

Вычислите значение произведения . Выполните проверку, переведя эти числа в десятичные дроби.

Подсказка

№2.277 учебника 2023-2024 (стр. 82):

Вспомните:

  1. Смешанные числа.
  2. Неправильные дроби.
  3. Умножение смешанных чисел.
  4. Сокращение дробей.
  5. Деление и дроби.

№2.277 учебника 2021-2022 (стр. 77):

Вспомните:

  1. Умножение обыкновенных дробей.
  2. Основное свойство дроби (сокращение дробей).
  3. Десятичная запись дробных чисел.
  4. Умножение десятичных дробей.

Ответ

№2.277 учебника 2023-2024 (стр. 82):


Пояснения:

Чтобы выполнить умножение смешанных чисел, нужно записать эти числа в виде неправильных дробей, а затем воспользоваться правилом, согласно которому, чтобы умножить обыкновенную дробь на натуральное число, нужно ее числитель умножить на это число, а знаменатель оставить без изменения.

Чтобы преобразовать смешанное число в неправильную дробь, надо целую часть числа умножить на знаменатель дробной части и к полученному произведению прибавить числитель дробной части; эту сумму записать как числитель неправильной дроби, а в ее знаменатель записать знаменатель дробной части смешанного числа.

Чтобы вычисления были проще, не надо перемножать сразу, лучше сделать это после сокращения.

Сократить дробь - значит, разделить ее числитель и знаменатель на одно и то же число (наибольший общий делитель).

Дробь, у которой в знаменателе стоит единица, равна своему числителю.


№2.277 учебника 2021-2022 (стр. 77):

  ×   0 7 5
    0 8 8
+     6 0 0
  6 0 0  
  0 6 6 0 0

Пояснения:

Произведением двух обыкновенных дробей является дробь, числитель которой равен произведению числителей, а знаменатель - произведению знаменателей.

Любую обыкновенную дробь, у которой в знаменателе стоит единица с нулями, можно записать в виде десятичной дроби (количество знаков после запятой совпадает с количеством нулей в знаменателе обыкновенной дроби).

Чтобы перемножить две десятичные дроби, надо:

1) записать дроби в столбик, как  два натуральных числа не обращая внимание на запятые;

2) умножить их как натуральные числа, не обращая внимание на запятые;

3) в полученном произведении отделить запятой справа столько цифр, сколько их стоит после запятых в обоих множителях вместе.


Вернуться к содержанию учебника